BTL Polska Sp. z o.o.
BTL Polska Sp. z o.o.
Adres: Leonidasa 49, 02-239 Warszawa
Telefon: 22 667 02 76
WWW: https://www.btlnet.pl/

Podgląd wizytówki
INTIMEX
INTIMEX sp. z o.o. sp. k.
Adres: Egejska 19/39, 02-764 Warszawa
Telefon: +48 22 6687465
WWW: https://intimex.com.pl/

Podgląd wizytówki
Mindray
Mindray Medical Poland
Adres: Cybernetyki 9, 02-677 Warszawa
Telefon: 22 463 80 80
WWW: www.mindray.com

Podgląd wizytówki
Dräger Polska
Dräger Polska Sp. z o.o.
Adres: Posag 7 Panien 1, 02-495 Warszawa
Telefon: 22 243 06 58
WWW: https://www.draeger.com/pl_pl/Home

Podgląd wizytówki
MIRO
MIRO Sp. z o.o.
Adres: Mińska 25B lok U1, 03-808 Warszawa
Telefon: 22 230 20 40
WWW: https://miro-med.pl/

Podgląd wizytówki
SONOSCAPE MEDICAL CORP.
SONOSCAPE MEDICAL CORP.
Adres: Guangming District, Guangdong, 518107 Shenzhen
Telefon: +48 784 894 276
WWW: www.sonoscape.com

Podgląd wizytówki
Intelimedical
Intelimedical Poland Sp. z o.o.
Adres: ul. Kasprowicza 4, 10-220 Olsztyn
Telefon: +48 22 599 42 23
WWW: https://intelimedical.pl/

Podgląd wizytówki

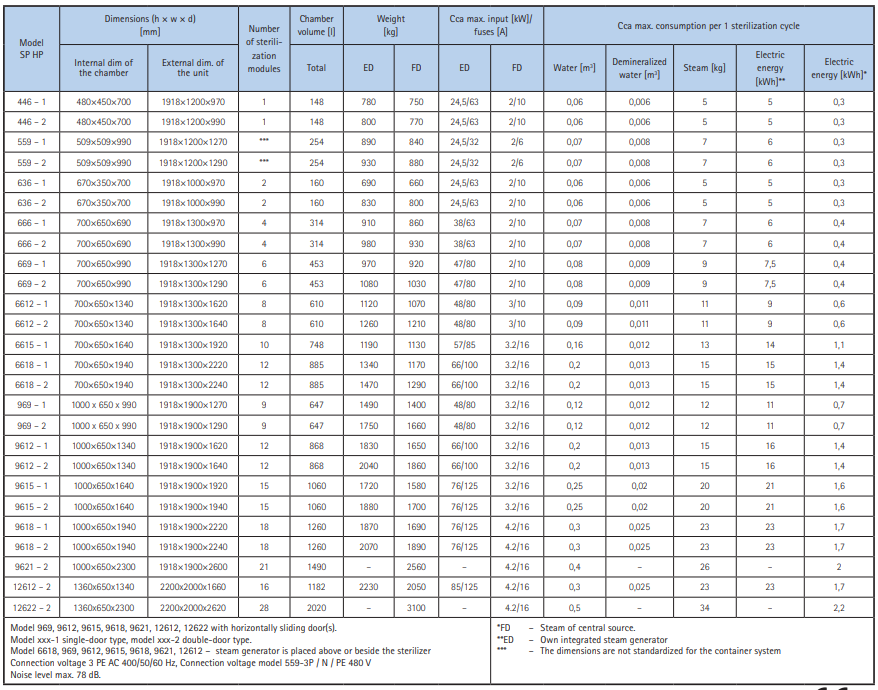
BMT STERIVAP HP


BMT STERIVAP HP

STERIVAP HP

Znajdują zastosowanie przy centralnych i „podręcznych“ sterylizatorniach oraz w laboratoriach działających w służbie zdrowia, farmacji, jak i przemyśle.

Dostępne modele:

  • 446 – 1
  • 446 – 2
  • 559 – 1
  • 559 – 2
  • 636 – 1
  • 636 – 2
  • 666 – 1
  • 666 – 2
  • 669 – 1
  • 669 – 2
  • 6612 – 1
  • 6612 – 2
  • 6615 – 1 7
  • 6618 – 1
  • 6618 – 2
  • 969 – 1 1
  • 969 – 2
  • 9612 – 1
  • 9612 – 2
  • 9615 – 1
  • 9615 – 2
  • 9618 – 1
  • 9618 – 2
  • 9621 – 2
  • 12612 – 2
  • 12622 – 2

Dane techniczne znajdują się na zdjęciu poglądowym w Galerii.

Pojemność robocza komory w STE: 1;
Wbudowana wytwornica pary (tak/nie): Nie
Ilość drzwi: 1;
Wymagana moc przyłącza prądowego (kW): 2;
Wymagane przyłącze wody (tak/nie): Nie
Wymagane przyłącze sprężonego powietrza (tak/nie): Nie
Rejestracja i wydruk krytycznych parametrów procesu (tak/nie): Tak
Ilość programów roboczych bezpośrednio dostępnych z panelu sterującego: 20;
Test szczelności (tak/nie): Tak
Test Bowie-Dicka (tak/nie): Tak
Łączna ilość programów: 80;
Ilość programów definiowalnych przez użytkownika: 80;
Brak akcesoriów
Brak materiałów dodatkowych

Nie wybrano pliku
Maksymalny rozmiar załącznika to 10MB.
Pole zgody na przetwarzanie danych osobowych jest wymagane.
Chcesz poznać ofertę tego produktu? Skontaktujemy Cię z dystrybutorem. Napisz do nas medipment@amdg.net.pl, zadzwoń 663 263 423, lub wybierz czat online w prawym dolnym rogu.